

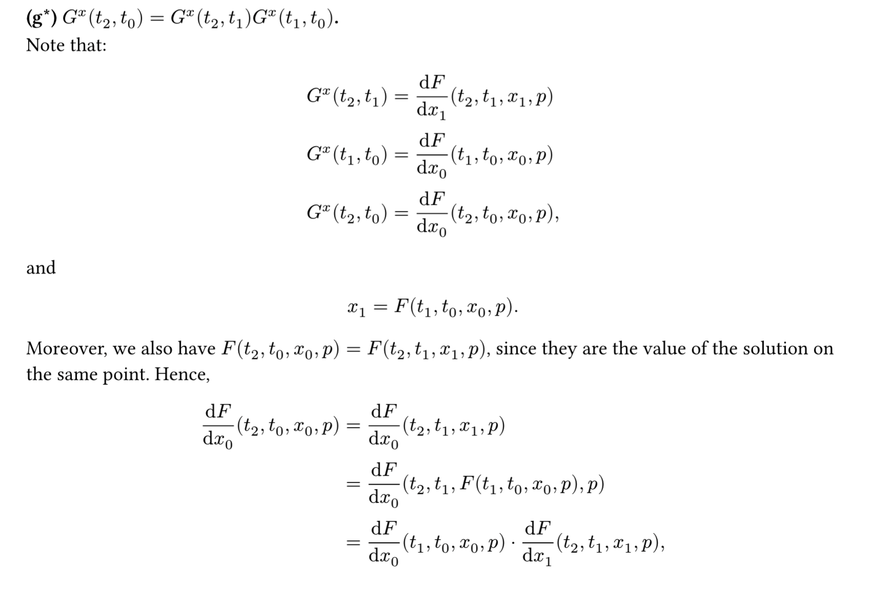
All the other properties are easy to show, except a notable one (g).
The proof is given above:
this is given by applying the chain rule.


All the other properties are easy to show, except a notable one (g).
The proof is given above:
this is given by applying the chain rule.